1. econimicnews24@gmail.com : Nayan Sharkar : Nayan Sharkar
  2. economicnews24bd@gmail.com : Nurnnobi Sarker : Nurnnobi Sarker
  3. editor.econimicnews24@gmail.com : Fahim Fahim : Fahim Fahim
  4. jmitsolution24@gmail.com : support :
রবিবার, ০৩ মে ২০২৬, ১০:৫৬ অপরাহ্ন
Title :
ঢাকায় বিওয়াইডির সবচেয়ে বড় শোরুম উদ্বোধনের পাশাপাশি গাড়ি হস্তান্তর আইএফআইসি ব্যাংক ও আকিজ রিসোর্স এর মধ্যে ক্যাশ ম্যানেজমেন্ট বিষয়ক চুক্তি স্বাক্ষর দারাজ ৫.৫ মেগা ইদ সেল: গিভঅ্যাওয়ে ও বিশেষ সব অফারে এই ঈদে দারাজের দারুণ চমক ডাসকো ফাউন্ডেশনের ‘সাওয়াব’ প্রকল্প উদ্বোধন, বরেন্দ্র অঞ্চলে নিরাপদ পানির টেকসই সমাধানে নতুন উদ্যোগ রূপগঞ্জে এসএসসি পরীক্ষার্থী অভিভাবকদের সাথে আবু মাসুমের মতবিনিময়  ও শিক্ষা বিষয়ক ক্যাম্পেইন, খাদ্য বিতরণ আলমডাঙ্গায় আইসক্রিম তৈরিতে কাপড়ের রং ব্যবহার; অবৈধ আইসক্রিম ফ্যাক্টরিকে ৫০ হাজার টাকা জরিমানা চুয়াডাঙ্গায় ১২ হাজার প্রান্তিক কৃষকের মাঝে বিনামূল্যে বীজ ও সার বিতরণে এমপি রাসেল ঈদুল আজহা হ্যাপিনেস অফারের পাশাপাশি অপোর নিশ্চিন্ত রিপ্লেসমেন্টের ঘোষণা আজ রাত ৯টায় সংরক্ষিত মহিলা আসনের এমপিদের শপথ তৃতীয় প্রান্তিক প্রকাশ করেছে এমএল ডাইং

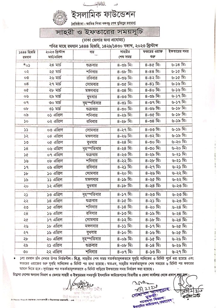
সেহরি ও ইফতারের সময়সূচি – ২০২৩

  • আপডেট : রবিবার, ৯ এপ্রিল, ২০২৩, ৪.২১ পিএম
  • ১২২২ Time View

Please Share This Post in Your Social Media

আরো খবর »

Leave a Reply

Your email address will not be published. Required fields are marked *

© 2026 - Economic News24. All Rights Reserved.
Economicnews24 .com